Coronavirus: MSP actualiza datos sumando este viernes 7.289 casos y 88 muertes por Covid-19. El Ministerio de Salud Pública actualizó este viernes, 9 de abril de 2021, los datos de la pandemia, confirmando 3.786 casos en las últimas 24 horas, de los cuales 115 son de Maldonado, agregando además a los datos estadísticos que publica el SINAE, 3.503 casos atrasados que los prestadores de salud reportan fuera de fecha. De esta forma, este viernes se sumaron en total 7.289 casos nuevos a los 130.657 acumulados que había ayer, totalizando Uruguay, 137.946 casos de coronavirus desde que comenzó la pandemia, de las cuales 32.342 cursan la enfermedad actualmente. En cuanto a los decesos por Covid-19, se sumaron hoy 88 muertes, de las cuales 52 se produjeron en las últimas 24 horas y 36 corresponden a días anteriores. Ayer eran 1.275 las muertes por Covid-19 en Uruguay, y este viernes la cifra asciende a 1.363 personas fallecidas víctimas de la pandemia.
De acuerdo a la información proporcionada por el Ministerio de Salud Pública (MSP), hoy se llevaron a cabo 15.815 análisis y se detectaron 3.786 nuevos casos de Coronavirus COVID-19. De los 3.786 casos nuevos, 1919 son de Montevideo, 609 de Canelones, 147 de Rivera, 145 de Cerro Largo, 121 de Salto, 115 de Maldonado, 107 de Artigas, 114 de Tacuarembó, 85 de San José, 80 de Paysandú, 56 de Colonia, 56 de Soriano, 53 de Florida, 43 de Durazno, 34 de Lavalleja, 30 de Treinta y Tres, 29 de Río Negro, 23 de Rocha y 20 de Flores. En todos los casos se trabaja en un estricto seguimiento epidemiológico.
Desde que se declaró la emergencia sanitaria el 13 de marzo se han procesado 1.504.177 tests y se han registrado 137.946 casos positivos de Coronavirus en todo el territorio nacional. De ese total 104.241 ya se recuperaron.
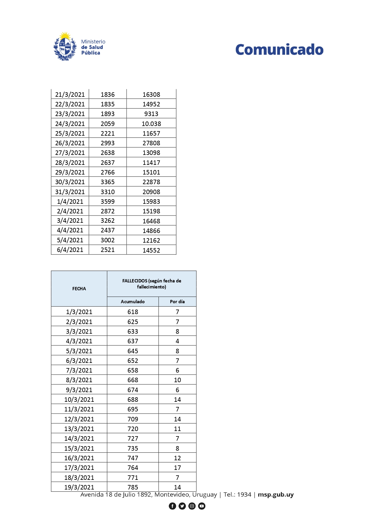
Hoy se confirmaron 52 fallecimientos con diagnóstico de SARS-CoV-2 en nuestro país (se anexa tabla con detalle). Hasta el momento son 1.363 las defunciones con diagnóstico de COVID-19 en Uruguay.
Actualmente hay 32.342 casos activos, es decir personas que están cursando la enfermedad, 453 de ellas se encuentra en cuidados intensivos. Del total de casos positivos confirmados, 5.619 corresponden a personal de la salud. 4.908 de ellos ya se recuperaron, 704 están cursando la enfermedad y 7 fallecieron. Al día de hoy en los 19 departamentos se registran casos activos.
Nota
El total de casos positivos confirmado hasta ayer era de 130.657. El total de personas fallecidas confirmado hasta ayer era de 1.275. El Ministerio de Salud Pública (MSP) reporta hoy 3.786 casos nuevos, 52 fallecimientos confirmados, un total de 137.946 casos positivos confirmados y un total de 1.363 defunciones hasta el momento. Las diferencias se explican por el trabajo de actualización desarrollado por la División de Epidemiología del Ministerio de Salud Pública, en conjunto con el programa Salud.uy, laboratorios y prestadores de salud a nivel nacional y serán explicadas en un informe que se publicará a la brevedad.
ACTUALIZACIÓN DE DATOS COVID-19
El Ministerio de Salud Pública presenta los datos correspondientes a casos positivos Covid-19,
test realizados, y personas fallecidas con test positivo a Sars-Cov2, ordenados cronológicamente
de acuerdo a la fecha de acontecimiento. Es importante considerar, que la elaboración de los informes diarios, se realiza de acuerdo a los datos recibidos hasta la hora de cierre del mismo, tomando como insumo la información recepcionada desde la hora de cierre del informe del día anterior. Durante este proceso es esperable que se identifiquen eventos ocurridos en días previos a la fecha del informe los cuales, una vez analizados por el sistema de vigilancia del Ministerio de Salud Pública, se define el estado de los mismos.
Tal como fue explicado, desde el 26 de marzo, se identificaron una serie de factores que impactaron en la recepción de la información en los tiempos establecidos. Entre las causas, se
destaca principalmente el envío tardío de certificados de defunción en formato electrónico o
papel, la demora en la carga del resultado de los test de antígénico y enlentecimiento en el
procesamiento de los estudios recibidos previa a su visualización.
Este inconveniente fue resuelto por el área de Gobierno Electrónico y División Epidemiología de
este ministerio, en conjunto con laboratorios y prestadores de salud a nivel nacional y programa
Salud.uy.
Maldonado
| Confirmados | 3.888 |
| Infección en curso | 962 |
| Recuperados | 2.894 |
| Fallecidos por Covid-19 | 32 |
Detalle personas fallecidas
| Edad | Departamento de residencia |
| 85 | ARTIGAS |
| 76 | CANELONES |
| 74 | |
| 74 | |
| 71 | |
| 67 | |
| 51 | |
| 57 | CERRO LARGO |
| 56 | |
| 93 | COLONIA |
| 87 | DURAZNO |
| 101 | MONTEVIDEO |
| 93 | |
| 92 | |
| 89 | |
| 89 | |
| 88 | |
| 88 | |
| 82 | |
| 80 | |
| 79 | |
| 79 | |
| 77 | |
| 76 | |
| 76 | |
| 75 | |
| 71 | |
| 69 | |
| 66 | |
| 65 | |
| 64 | |
| 63 | |
| 61 | |
| 59 | |
| 54 | |
| 52 | |
| 52 | |
| 83 | PAYSANDU |
| 83 | RIVERA |
| 73 | |
| 60 | |
| 52 | |
| 83 | ROCHA |
| 81 | SALTO |
| 61 | |
| 73 | SORIANO |
| 66 | TACUAREMBO |
| 63 | |
| 80 | TREINTA Y TRES |
| 75 | |
| 66 | |
| 47 |
Descubre más desde Semanario La Prensa
Suscríbete y recibe las últimas entradas en tu correo electrónico.























